C481 B581 Computer Graphics
Dana Vrajitoru

Scene Graphs

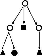
Def. A scene graph is a n-ary tree where 
  • each leaf is 
    • either a geometrical object
      or a property (sometimes); 
  • the structure reflects a physical relation between the objects.

Example:


 
Properties in scene graphs can be
  • either physical properties (color, surface properties, transparency, etc.)
  • or geometrical properties, i.e. transformations.


While descending in the tree:

  • physical properties are inherited, unless redefined,
  • transformations are composed .

Scene Graphs in OpenGL
glPushMatrix();
 glPopMatrix(); 
OOP for Scene Graphs
Leaf Nodes
Container Nodes
Example: DataViewer
Containers in DV

Structural Trees

Binary Space Partitioning Trees

     
     

Quadtrees and Octrees

Quadtree

Octree

Metaballs (Blobs)

Constructive Solid Geometry (CSG)